A Sin B C B Sin C A C Sin A B 0

Geeksnetworks In A Triangle Abc Prove That Asin B C Bsin C A Csin A B 0

Geeksnetworks In A Triangle Abc Prove That Asin B C Bsin C A Csin A B 0

Geeksnetworks In A Triangle Abc Prove That Asin B C Bsin C A Csin A B 0

Geeksnetworks In A Triangle Abc Prove That Asin B C Bsin C A Csin A B 0

Show That Sin A B Sina Sinb Sin B C Sinb Sinc Sin C A Sinc Sina 0 Brainly In

Show That Sin A B Sina Sinb Sin B C Sinb Sinc Sin C A Sinc Sina 0 Brainly In

1 Sina Sin B C Sin B Sin C A Sinc Sin A B 0 Brainly In

1 Sina Sin B C Sin B Sin C A Sinc Sin A B 0 Brainly In

5 Prove That Sin A Sin B C Sin B Sin C A Sin C Sin A B 0 Youtube

5 Prove That Sin A Sin B C Sin B Sin C A Sin C Sin A B 0 Youtube

Sin B C Cosbcosc Sin C A Cosccosa Sin A B Cosacosb 0 Math Trigonometric Functions 404006 Meritnation Com

Sin B C Cosbcosc Sin C A Cosccosa Sin A B Cosacosb 0 Math Trigonometric Functions 404006 Meritnation Com

Sin B C Cosbcosc Sin C A Cosccosa Sin A B Cosacosb 0 Math Trigonometric Functions 404006 Meritnation Com

If P Sin A B Sin C D Q Sin B C Sin A D R Sin C A Sin B D Then P Q R 0 B P Q R 0 P Youtube

If P Sin A B Sin C D Q Sin B C Sin A D R Sin C A Sin B D Then P Q R 0 B P Q R 0 P Youtube

What Is The Value Of Sin B C Cos A D Sin A B Cos C D Sin C A Cos B D Quora

What Is The Value Of Sin B C Cos A D Sin A B Cos C D Sin C A Cos B D Quora

19 Prove That Sin A B Sin A B Sin B C Sin B C Sin C A Si

19 Prove That Sin A B Sin A B Sin B C Sin B C Sin C A Si

Prove That Faaasssttt Sin A B Sina Sinb Sin B C Sinb Sinc Sin C A Sinc Sina 0 Brainly In

Prove That Faaasssttt Sin A B Sina Sinb Sin B C Sinb Sinc Sin C A Sinc Sina 0 Brainly In

To Prove Sin B C Cos B Cos C Sin C A Cos Cos A Sin A B Cos A Cos B 0

To Prove Sin B C Cos B Cos C Sin C A Cos Cos A Sin A B Cos A Cos B 0

In Triangle Abc Prove That A2sin B C Sin A B2sin C A Sin B C2sin A B Sin C 0 Math Trigonometric Functions 11296755 Meritnation Com

In Triangle Abc Prove That A2sin B C Sin A B2sin C A Sin B C2sin A B Sin C 0 Math Trigonometric Functions 11296755 Meritnation Com

Asin B C Bsin C A Csin A B 0 In Any Triangle Abc Prove Thata

Asin B C Bsin C A Csin A B 0 In Any Triangle Abc Prove Thata

How To Solve Sin 3a Sin B C Sin 3b Sin C A Sin 3c Sin A B Sin A B C Sin B C Sin C A Sin A B 0 Quora

How To Solve Sin 3a Sin B C Sin 3b Sin C A Sin 3c Sin A B Sin A B C Sin B C Sin C A Sin A B 0 Quora

A 2sin B C Sinb Sinc B 2sin C A Sinc Sina C 2sin A B Sina Sinb 0 Youtube

A 2sin B C Sinb Sinc B 2sin C A Sinc Sina C 2sin A B Sina Sinb 0 Youtube

Solution Of Triangles

Solution Of Triangles

Prove That Sin A B Sin A B Sin B C Sin B C Sin C A Si

Prove That Sin A B Sin A B Sin B C Sin B C Sin C A Si

Sin A B Sinasinb Sin B C Sinb Sinc Sin C A Sinc Sina 0 Prove It Brainly In

Sin A B Sinasinb Sin B C Sinb Sinc Sin C A Sinc Sina 0 Prove It Brainly In

In Any Triangle Abc Prove That A3cos B C B3cos C A C3cos A B 3abc Math Trigonometric Functions 11101743 Meritnation Com

In Any Triangle Abc Prove That A3cos B C B3cos C A C3cos A B 3abc Math Trigonometric Functions 11101743 Meritnation Com

Geeksnetworks Properties Of Triangles This Question Is Based On Properties Of Triangles Prove That In A Triangle Abc A 3 Cos B C B 3 Cos C A C 3 Cos A B 3abc

Geeksnetworks Properties Of Triangles This Question Is Based On Properties Of Triangles Prove That In A Triangle Abc A 3 Cos B C B 3 Cos C A C 3 Cos A B 3abc

If Sin B C A Cos C A B Tan A B C 1 Then What Is The Value Of A B C Which Are Positive Acute Angles Quora

If Sin B C A Cos C A B Tan A B C 1 Then What Is The Value Of A B C Which Are Positive Acute Angles Quora

16 In A A Abc If A Sin B C B2 Sin C A C Sin

16 In A A Abc If A Sin B C B2 Sin C A C Sin

No 1 If Each Of A B Andc Is A Positive Acute Angle Such That Sin A B C 1 2 Cos B C A 1 2 And Tan C A B

No 1 If Each Of A B Andc Is A Positive Acute Angle Such That Sin A B C 1 2 Cos B C A 1 2 And Tan C A B

Solution Of Triangles

Solution Of Triangles

Search Q Sin C D Formula Tbm Isch

Search Q Sin C D Formula Tbm Isch

If A B C Are The Interior Angles Of A Triangle Abc Prove That1 Tan C A 2 Cotb 2 2 Sin B C 2 Cosa 2 Mathematics Topperlearning Com 5e4iht11

If A B C Are The Interior Angles Of A Triangle Abc Prove That1 Tan C A 2 Cotb 2 2 Sin B C 2 Cosa 2 Mathematics Topperlearning Com 5e4iht11

Sin Ca B Sin B C 4 Cosb Cosc Cos Cc A 50 Cusc Cosa Cosa Cosb

Sin Ca B Sin B C 4 Cosb Cosc Cos Cc A 50 Cusc Cosa Cosa Cosb

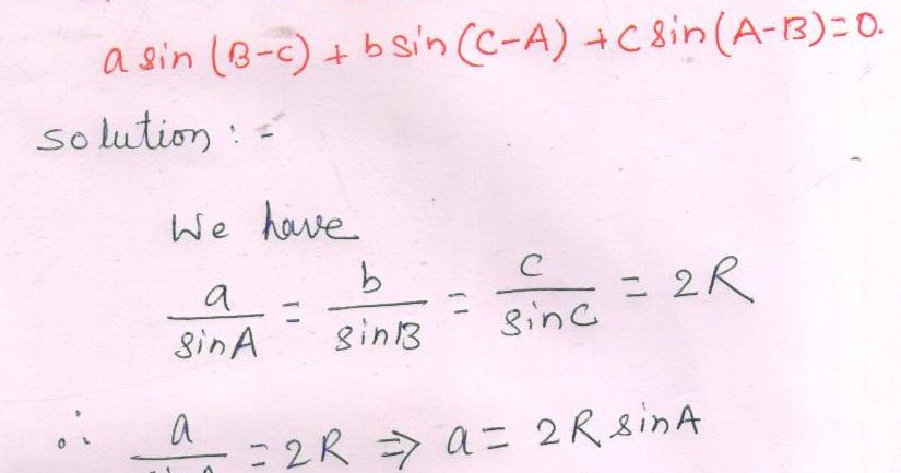
In Triangle Abc Prove That A Sin B C B Sin C A C Sin A B 0 Brainly In

In Triangle Abc Prove That A Sin B C B Sin C A C Sin A B 0 Brainly In

Solved Trigonometry Assume A And B Are Constants Sin A Chegg Com

Solved Trigonometry Assume A And B Are Constants Sin A Chegg Com

Law Of Sines Wikipedia

Law Of Sines Wikipedia

Trigonometry Proof Of Sin A Sin B Sin C 4 Sin A 2 Sin B 2 Cos C 2 Youtube

Trigonometry Proof Of Sin A Sin B Sin C 4 Sin A 2 Sin B 2 Cos C 2 Youtube

16 In A A Abc If A Sin B C B2 Sin C A C Sin A B 0 Then Triangle Is 1 Right Angled 2 Obtuse Angled 3 Isosceles 4 None Of These

16 In A A Abc If A Sin B C B2 Sin C A C Sin A B 0 Then Triangle Is 1 Right Angled 2 Obtuse Angled 3 Isosceles 4 None Of These

Solution Of Triangles

Solution Of Triangles

Prove That A 2sin B C Sinb Sinc B 2 Sin C A Sinc Sina

Prove That A 2sin B C Sinb Sinc B 2 Sin C A Sinc Sina

If Math A B C Pi Math In A Triangle Abc Then What Is The Value Of Math Sin A Sin B Sin C Math Quora

If Math A B C Pi Math In A Triangle Abc Then What Is The Value Of Math Sin A Sin B Sin C Math Quora

Class Xi Chapter 3 Theorem 1 Sine Formula In Any Triangle Sides Are Proportional To The Sines Of The Opposite Angles That Is In A Triangle Abc Pdf Free Download

Class Xi Chapter 3 Theorem 1 Sine Formula In Any Triangle Sides Are Proportional To The Sines Of The Opposite Angles That Is In A Triangle Abc Pdf Free Download

Solved Problem 6 10 Points For Any Triangle Aabc Prov Chegg Com

Solved Problem 6 10 Points For Any Triangle Aabc Prov Chegg Com

If Cos A B Cos B C Cos C A 3 2 Then Prove That Cos A Cos B Cos C Sin A Sin B Sin C 0 Brainly In

If Cos A B Cos B C Cos C A 3 2 Then Prove That Cos A Cos B Cos C Sin A Sin B Sin C 0 Brainly In

Example 13 Evaluate Determinant 1 A Bc 1 B Ca 1 C Ab

Example 13 Evaluate Determinant 1 A Bc 1 B Ca 1 C Ab

In An Acute Angled Triangle Abc If Sin A B C 1 2 And Cos B C A 1 2 Find A B And C Sarthaks Econnect Largest Online Education Community

In An Acute Angled Triangle Abc If Sin A B C 1 2 And Cos B C A 1 2 Find A B And C Sarthaks Econnect Largest Online Education Community

Source : pinterest.com